Из двух пунктов, расстояние между которыми 245 км, одновременно навстречу друг другу выехали автобус и автомобиль. Они встретились через 2 ч. С какой скоростью ехал каждый из них, если известно, что скорость автомобиля на 15 км/ч больше скорости автобуса?
Ответы
Ответ дал:
0
Ответ:
60
Объяснение:
1) x - скорость автобуса,х+15 - скорость автомобиля.
(x+x+15)*21/3=245
2x+15=245:21/3
2x=105-15
x=45
x+15=60
Ответ дал:
0
Там 2 часа
Ответ дал:
0
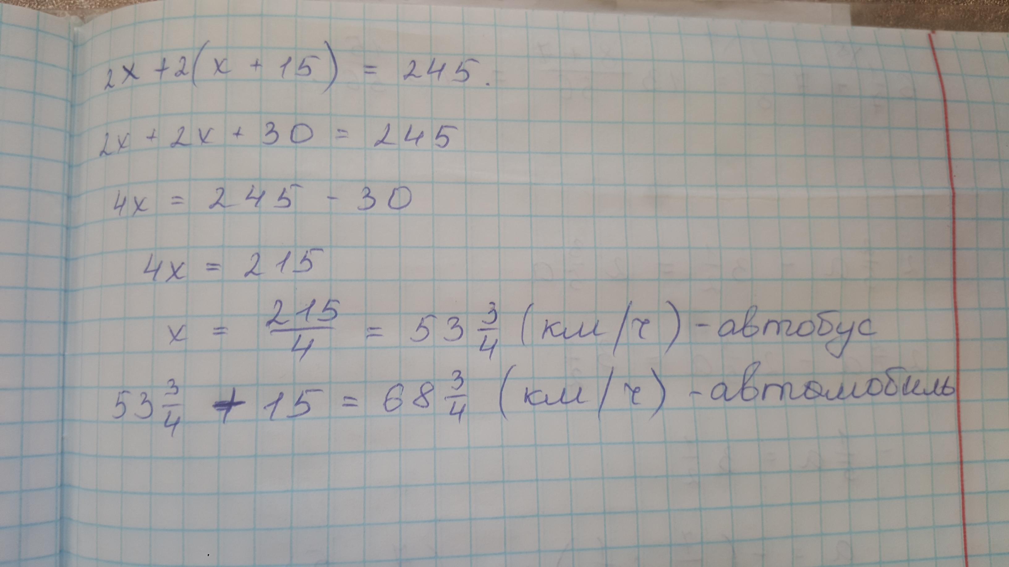
Ответ:
Автобус - 53 целых 3/4 км/час
Автомобиль - 68 целых 3/4 км/час
Приложения:

Вас заинтересует
2 года назад
2 года назад
3 года назад
8 лет назад
9 лет назад