• Предмет: Физика
  • Автор: igorerzukov
  • Вопрос задан 8 лет назад

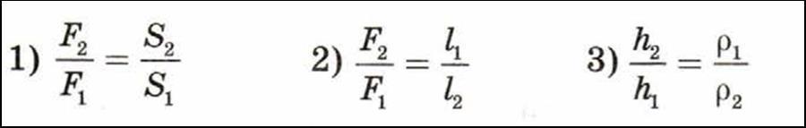
Какая формула выражает равновесие рычага СРОЧНООО ДАЮ 20 БАЛОВ

1

2

3

Приложения:

Ответа на этот вопрос пока нет. Попробуйте найти его через форму поиска.

Вас заинтересует