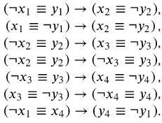
Сколько существует различных наборов значений логических переменных x1...x4, y1...y4, при которых следующие выражения истинны?
Правильный ответ - 56. Мое решение с ответом никак не сходится(
Приложения:
Ответа на этот вопрос пока нет. Попробуйте найти его через форму поиска.
Вас заинтересует
2 года назад
2 года назад
3 года назад
10 лет назад