Срочно 30 баллов!
Найти координаты точек пересечения функции с осями координат
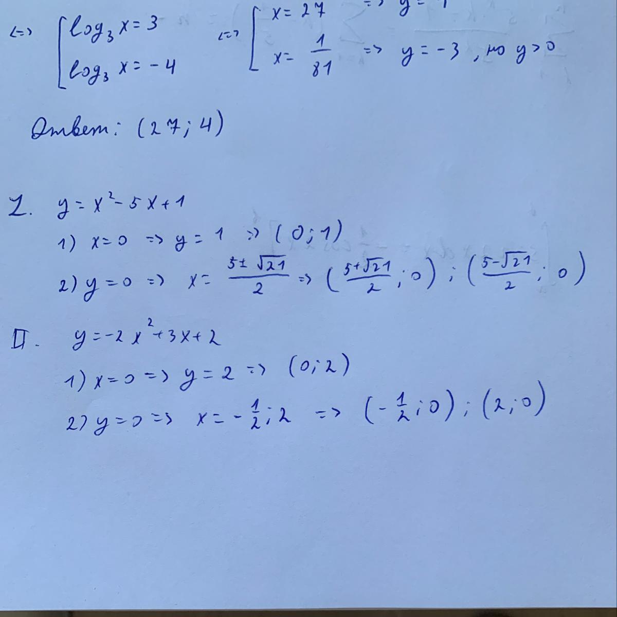
у=х^2-5х+1
И
у=-2х^2+3х+2
Помогите!
Ответы
Ответ дал:
0
Решение снизу))
Не ошибись)
Не ошибись)
Приложения:

Вас заинтересует
2 года назад
2 года назад
3 года назад
3 года назад