• Предмет: Алгебра
  • Автор: ivannasabadochows5ub
  • Вопрос задан 2 года назад

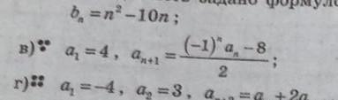
a1=4 an+1=(-1)^n-8/2
знайти перші 5 членів послідовності
найти первые 5 членов последовательности

Приложения:

Ответы

Ответ дал: Evgenia4836
1

Ответ:

Объяснение:

a2= ((-1)*4-8)/2= -12/2= -6

a3= ((-1)²*(-6)-8)/2= -14/2= -7

a4= ((-1)³*(-7)-8)/2= -0,5

a5= ((-1)⁴*(-1/2)-8)/2= -4,25

Вас заинтересует