• Предмет: Алгебра
  • Автор: lesha8978kaliningrad
  • Вопрос задан 2 года назад

Докажите тождество. Пожалуйста, очень срочно

Приложения:

Ответы

Ответ дал: manyny06
1

Ответ:

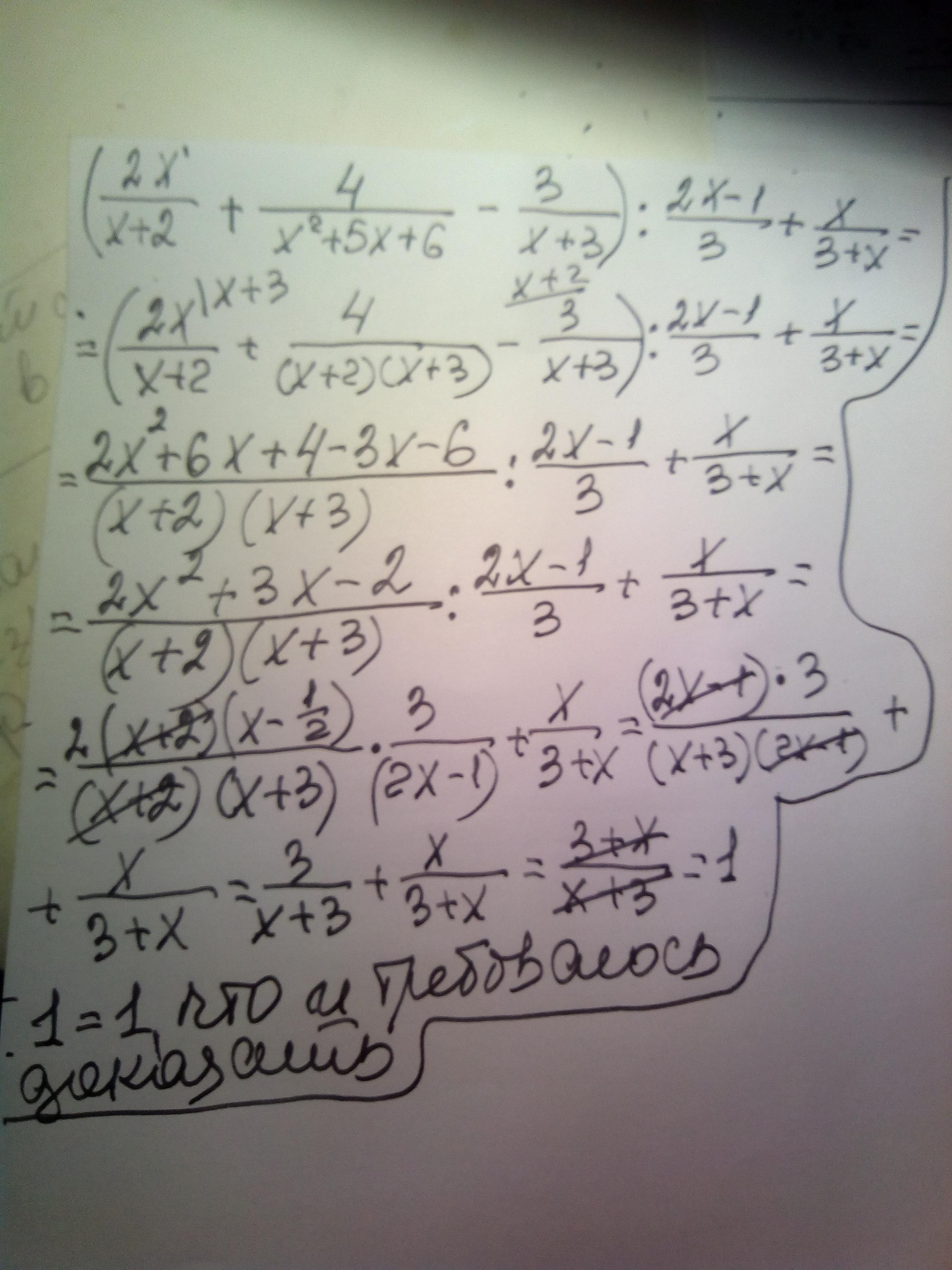
решение смотри на фотографии

Объяснение:

Приложения:

lesha8978kaliningrad: спасибо большое
Ответ дал: Gabaklava
0
Ответ будет равен одному
Вас заинтересует