• Предмет: Математика
  • Автор: nikitaskrylov465
  • Вопрос задан 8 лет назад

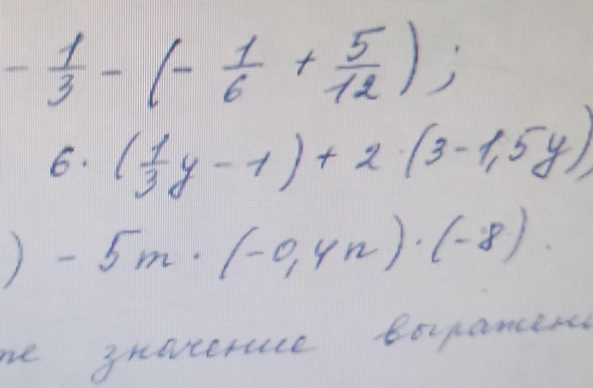
помогите пожалуйста, ​это надо упростить

Приложения:

Ответа на этот вопрос пока нет. Попробуйте найти его через форму поиска.

Вас заинтересует