Ответы
Ответ дал:
0
Ответ:
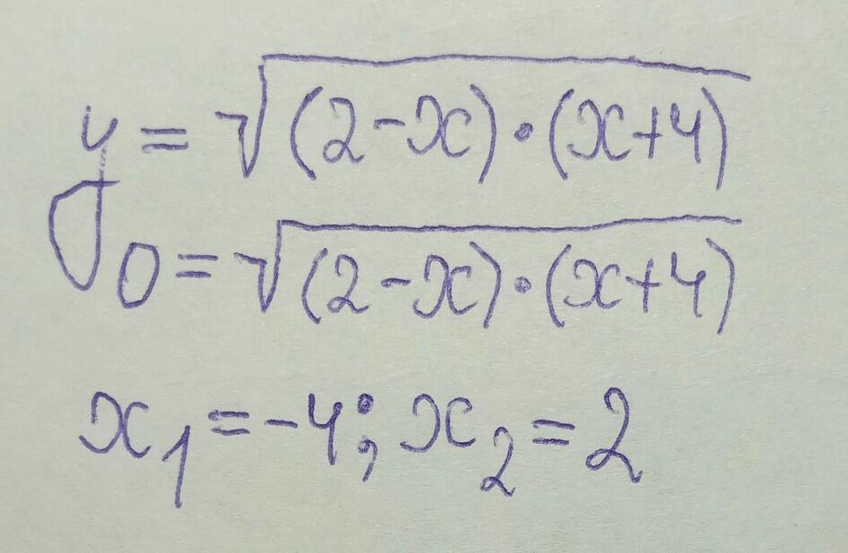
на фотографии
Пошаговое объяснение:
на фотографии
Приложения:

Вас заинтересует
1 год назад
1 год назад
1 год назад
3 года назад
3 года назад