Ответы
Ответ дал:
0
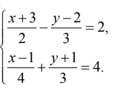
Ответ:
(5;8)
Объяснение:
см фото, там подробно
Приложения:

Вас заинтересует
3 года назад
3 года назад
8 лет назад
8 лет назад