• Предмет: Математика
  • Автор: evatrav1466
  • Вопрос задан 2 года назад

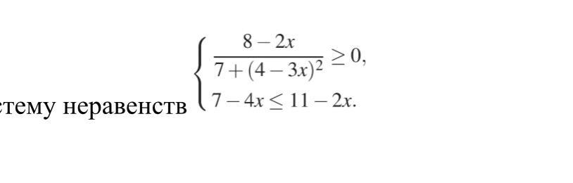
Помогите решить систему уравнений

Приложения:

Ответы

Ответ дал: gal4enok0071
0
Как то так! Надеюсь помогла!
Приложения:
Вас заинтересует