• Предмет: Алгебра
  • Автор: help71818
  • Вопрос задан 2 года назад

Ну очень срочно !! Помогите пожалуйста с алгеброй Очень надо . Дам много баллов! Просто на мой вопрос никто не отвечает (
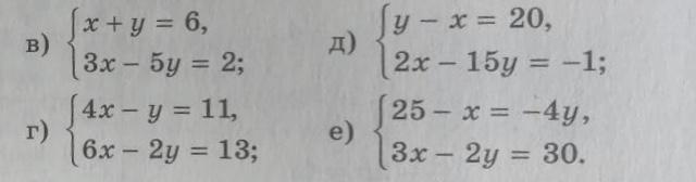
Задание :
Решить систему уравнений
Нужно сделать только (в,г,д)
Можете пожалуйста сделать на листике )
Заранее огромное вам спасибо !

Приложения:

Ответы

Ответ дал: karpkoi2005
1
Вот держи только я не понимаю почему одно фото отправилось
Приложения:

karpkoi2005: Напиши мне 89652096756 я пришлю как решать в г а то у меня только одно фото вставилось
karpkoi2005: В Вотсапе
help71818: Спасибо )
help71818: Да, сейчас напишу
Вас заинтересует