Помогите пж с неравенством! Сам уже всё перепробовал, но получаеться какой-то бред... Первому давшему нормальное объяснение с ответом дам лучший ответ.
ВладимирБ:
Какое неравенство?
Ответы
Ответ дал:
1
Ответ:
Пошаговое объяснение:
..........................
Приложения:


Ответ дал:
0
Ответ:
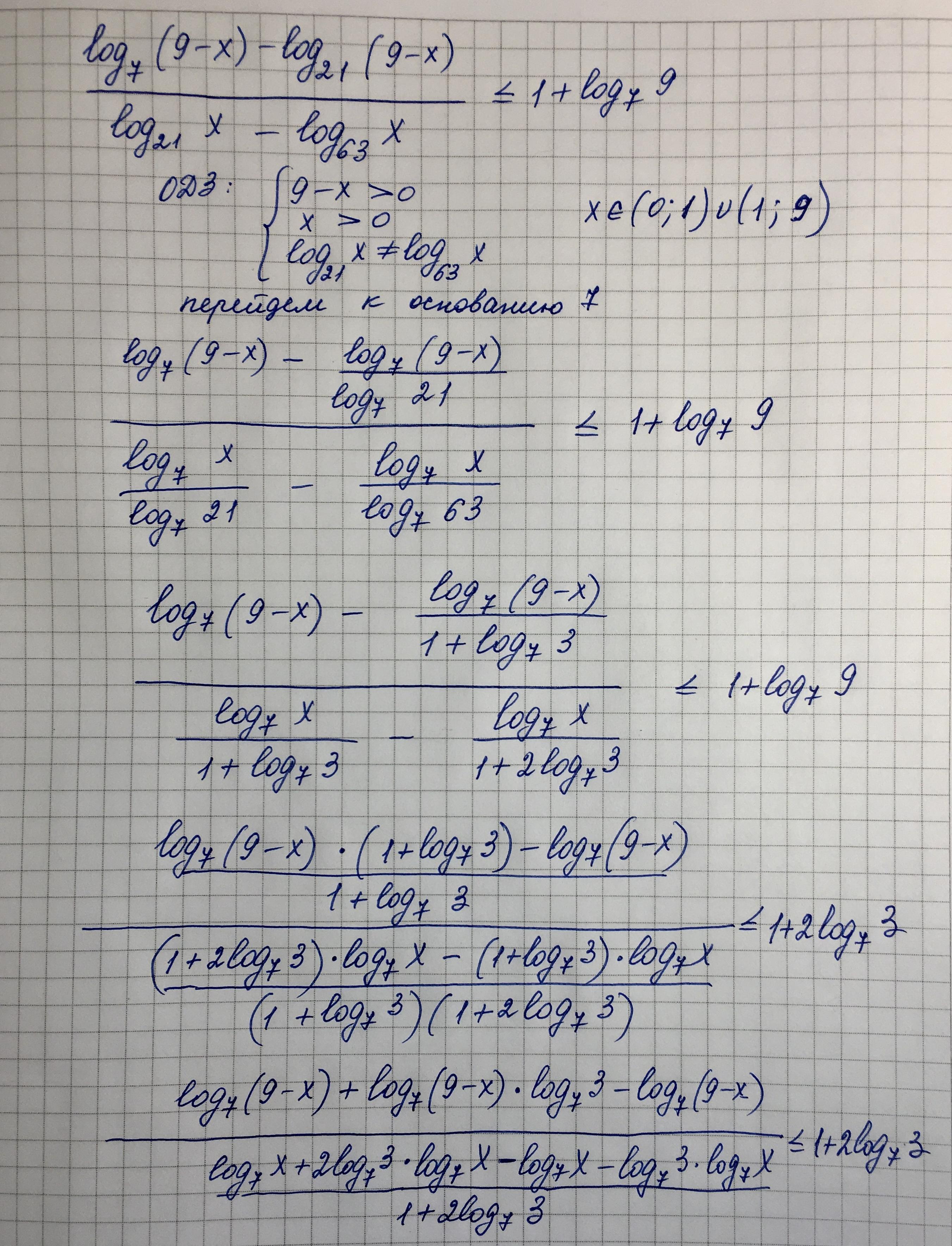
(log7(9-x) - log21(9-x):(log21(x) - log63(x)) <= 1+log7(9)
(log7(9-x) - log21(9-x):(log21(x) - log63(x)) <= 1+log7(9)
X€(0;1)U[4.5;9)
Пошаговое объяснение:
Вас заинтересует
1 год назад
1 год назад
1 год назад
1 год назад
3 года назад
3 года назад
8 лет назад