• Предмет: Математика
  • Автор: gachanya666
  • Вопрос задан 2 года назад

Помогите пожалуйста решить​

Приложения:

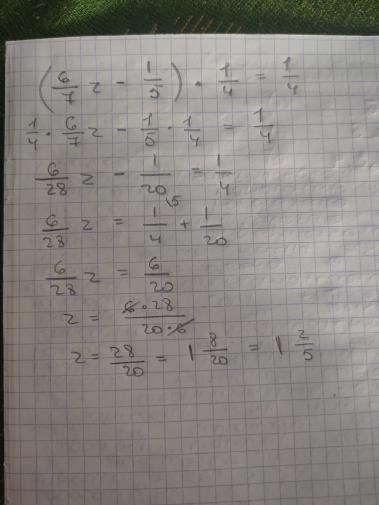
jekadva: z = 2 2/5
jekadva: z = 1 2/7
jekadva: z = 1 2/5

Ответы

Ответ дал: Missisdasha
1

Ответ: 1,4

Решение в прикрепленном файле

Приложения:
Ответ дал: dariayoongii
0

Ответ:

z=1\frac{2}{5}

Пошаговое объяснение:

Вас заинтересует