• Предмет: Алгебра
  • Автор: AlayaRoza23
  • Вопрос задан 8 лет назад

Помогите пожалуйта )

СРООООЧНОООО!!!!!

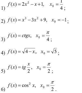
Приложения:

Ответа на этот вопрос пока нет. Попробуйте найти его через форму поиска.

Вас заинтересует