• Предмет: Алгебра
  • Автор: Casside
  • Вопрос задан 2 года назад

Срочно, пожалуйста
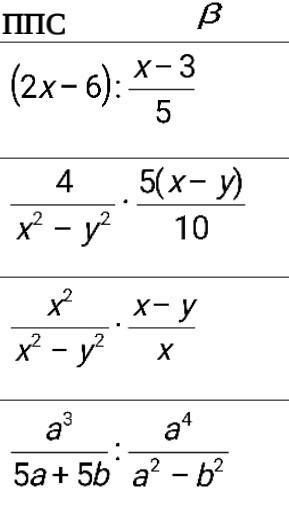
Выполните действия​

Приложения:

Ответы

Ответ дал: dadawovasebnem
1

Объяснение:

1) (2х - 6): х-3/5

2(х-3)•5/х-3

2•5

ответ:10

2) 4/х2-у2 • 5(х-у)/10

4/(х-у)(х+у) х-у/2

2/х+у 1

ответ:2/х+у

3)х2/х2-у2 х-у/х

ответ:х/х+у

4)а3/5а+5b : а4/а2-b2

а3/5(а+b)a2-b2/a4

1/5(a+b) (a-b)(a+b)/a

1/5 a-b/a

ответ:a-b/5a

Вас заинтересует