• Предмет: Математика
  • Автор: li4ka2011
  • Вопрос задан 2 года назад

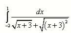
Найти определённый интеграл

Приложения:

Ответы

Ответ дал: NNNLLL54
1

\int\limits^{1}_{-2}\, \dfrac{dx}{\sqrt{x+3}+\sqrt{(x+3)^2}}=\int\limits^1_{-2}\, \dfrac{dx}{\sqrt{x+3}+|x+3|}=\\\\\\=\Big[\; |x+3|=x+3\; ,\; esli\; x\in [-2;1\; ]\; \Big]=\int\limits^1_{-2} \, \dfrac{dx}{\sqrt{x+3}+(x+3)}=\\\\\\=\Big [\; t^2=x+3\; ,\; \; x=t^2-3\; ,\; \; dx=2t\, dt\; \Big]=\\\\\\=\int\limits^2_{1}\, \dfrac{2t\, dt}{t+t^2}=2\int\limits^2_1\, \dfrac{dt}{t+1}=2\cdot ln|t+1|\; \Big|_1^2=2\cdot (ln3-ln2)=2\cdot ln(1,5)


quarckium: NNNLLL54 я так вам надоел что вы не решаете мои задачи? или...
Вас заинтересует