• Предмет: Алгебра
  • Автор: prettybaby228
  • Вопрос задан 2 года назад

Срочно! Помогите пожалуйста, решите умножение

Приложения:

Ответы

Ответ дал: marmivarmi
1

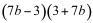
21b+49b²-9-21b

49b²-9


prettybaby228: Спасибо большое
Аноним: Нез
Вас заинтересует