Ответы
Ответ дал:
0
Ответ:
Решение во вложении.
Приложения:

Ответ дал:
0
Спасибо огромное ❤️
Ответ дал:
0
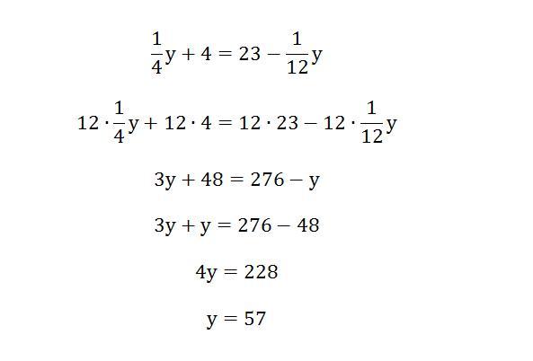
1 у+4=23 1 12
4
12 1,4 +11*4=12*23-12 1,12
4
12 1,4 +11*4=12*23-12 1,12
Приложения:

Вас заинтересует
2 года назад
3 года назад
8 лет назад
8 лет назад