• Предмет: Математика
  • Автор: egorduda02
  • Вопрос задан 8 лет назад

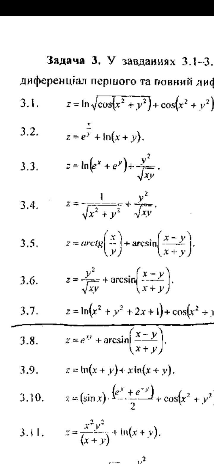
Найти частные производные, хэлп плиз. Задания 2.5, 3.5, 4.5

Приложения:

Ответа на этот вопрос пока нет. Попробуйте найти его через форму поиска.

Вас заинтересует