• Предмет: Алгебра
  • Автор: kuznecovv129
  • Вопрос задан 8 лет назад

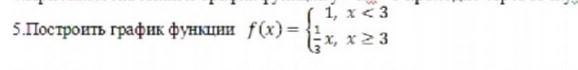
Срочно!!! Постройте пожалуйста график (50 баллов!!)

Приложения:

Ответы

Ответ дал: annamartunenko0
0

Ответ:

Всё на картинках

Приложения:
Вас заинтересует