• Предмет: Математика
  • Автор: angelina6698
  • Вопрос задан 8 лет назад

ПОМОГИТЕ ПОЖАЛУЙСТА РЕШИТЬ!!! ЗАРАНЕЕ СПАСИБО!!!


варианты ответа:

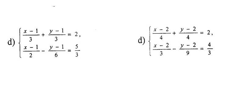
1d)

(5;3)
(5,-3)
(-5;3)

2d)

(-5;-7)
(5;7)
(7;5)

Приложения:

Ответа на этот вопрос пока нет. Попробуйте найти его через форму поиска.

Вас заинтересует