• Предмет: Математика
  • Автор: Sashyshka
  • Вопрос задан 8 лет назад

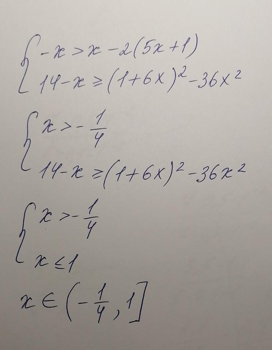
Решить систему неравенств

Приложения:

Ответы

Ответ дал: LadyBuggg
0

Держи :) :) :) :) :) :) :)

Приложения:
Вас заинтересует