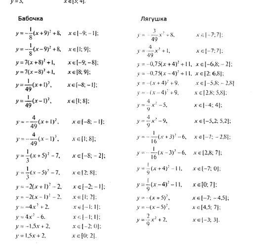
Постройте графики функций в одной системе координат. Получи рисунок. Excel
прошу, срочно нужно
Приложения:

Ответа на этот вопрос пока нет. Попробуйте найти его через форму поиска.
Вас заинтересует
2 года назад
3 года назад
3 года назад