• Предмет: Алгебра
  • Автор: belgibay09
  • Вопрос задан 8 лет назад

Помогите пожалуйста!!!

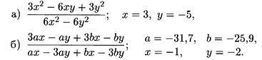
Приложения:

Ответы

Ответ дал: Trover
0

a);frac{3x^2-6xy+3y^2}{6x^2-6y^2}=frac{3(x^2-2xy+y^2)}{6(x^2-y^2)}=frac{(x-y)^2}{2(x-y)(x+y)}=frac{x-y}{2(x+y)}\\x=3,;y=-5:\frac{x-y}{2(x+y)}=frac{3-(-5)}{2(3+(-5))}=frac{3+5}{2(3-5)}=frac8{2(-2)}=frac8{-4}=-2

b);frac{3ax-ay+3bx-by}{ax-3ay+bx-3by}=frac{a(3x-y)+b(3x-y)}{a(x-3y)+b(x-3y)}=frac{(a+b)(3x-y)}{(a+b)(x-3y)}=frac{3x-y}{x-3y}\\x=-1,;y=-2:\frac{3x-y}{x-3y}=frac{3cdot(-1)-(-2)}{-1-3cdot(-2)}=frac{-3+2}{-1+6}=-frac15

Вас заинтересует