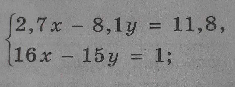
2,7 x - 8,1y = 11,8. это система!!!
16 x - 15y = 1.
решите пжлст с подробными записями, или если не трудно закрепите фотку как вы с тетради написали,,, заранее большое спасибо!!!!!
Приложения:

Ответы
Ответ дал:
6
2,7 x - 8,1y = 11,8
16 x - 15y = 1
_____________
27х-81у=118
16х-15у=1
первое умножим на 5, второе на - 27, и сложим полученные уравнения,
135х-405у=590
-432х+405у=-27
____________
-297х=563; х=-563/297=-1 266/297
у=(16х-1)/15=(-9008/297-1)/15=(-9305/(297*15)=-1861/891=-2 79/891
Проверка. 1х-15у= 16*(-563/297)+15*1861/891=(-27024+27915)/891=
891/891=1
первое уравнение, предварительно умножив его на 10
27 x - 81y = 27*(-563/297)+81*(1861/891)=81*(-563+1861)/891=1
298*81/891=1298/11=118
Ответ. х=-1 266/297; у=-2 79/891; у=
ernarersain350:
СПАСИБО ВАМ ОГРОМНОЕ
Вас заинтересует
1 год назад
1 год назад
1 год назад
1 год назад
3 года назад
3 года назад
8 лет назад