• Предмет: Алгебра
  • Автор: stsnas2015
  • Вопрос задан 2 года назад

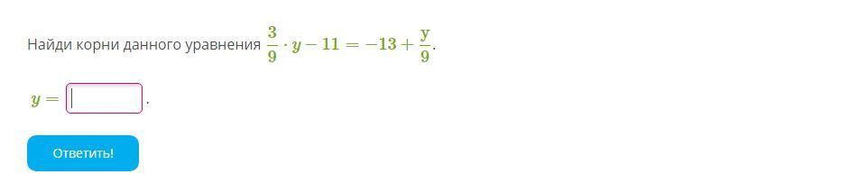
Помогите пожалуйста, легкое задание

Приложения:

Ответы

Ответ дал: Leonardof
1

Ответ:

y = -9

Объяснение:

Вас заинтересует