• Предмет: Математика
  • Автор: Аноним
  • Вопрос задан 2 года назад

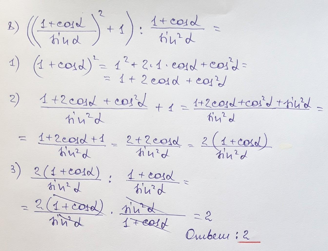
Упростите выражение, продемонстрировав ход решения

Приложения:

Ответы

Ответ дал: sharofat0
2

Ответ:

0

Упростите выражение.

Приложения:
Вас заинтересует