• Предмет: Математика
  • Автор: ttdhhdh855
  • Вопрос задан 2 года назад

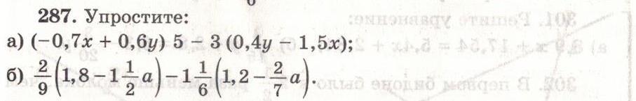
СРОЧНО ДАЮ 35 БАЛЛОВ
Прошу подробный ответ

Приложения:

нимбра: все 2 ?
ttdhhdh855: Да все 2

Ответы

Ответ дал: kislova21
1

Ответ:

Пошаговое объяснение:

а) -3.5х+3y-1.2y+4.5x=x+1.8y

б) 2/5-1/3a-7/5+1/3a= 2/5-7/5=(-1)

Вас заинтересует