• Предмет: Математика
  • Автор: shefer84
  • Вопрос задан 2 года назад

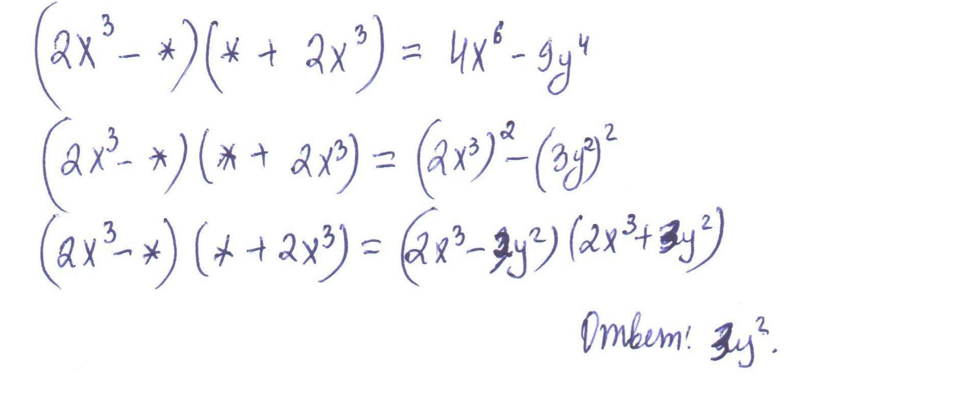
Подставьте вместо знака * одночлен так, чтобы получилось тождество:
(2х ^3 - * )(* +2х^3)= 4x^6— 9y^4

Ответы

Ответ дал: kislova21
5

Ответ:

Пошаговое объяснение:

Приложения:
Вас заинтересует