Ответы
Ответ дал:
0
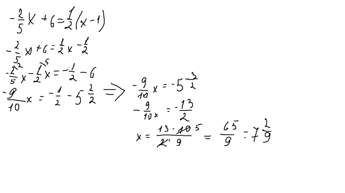
-2/5x+6=1/2x-1/2
1/2x+2/5x=6.5
9/10x=6.5
x=7 2/9
1/2x+2/5x=6.5
9/10x=6.5
x=7 2/9
Ответ дал:
0
решение приведено ниже
Приложения:

Вас заинтересует
2 года назад
8 лет назад
10 лет назад
10 лет назад
10 лет назад