• Предмет: Математика
  • Автор: xxxxxggggg
  • Вопрос задан 2 года назад

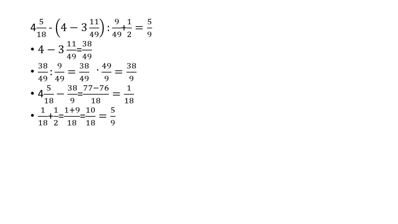
Найди значение выражения: 4 5/18−(4−3 11/49):9/49+1/2

Ответы

Ответ дал: afet74
1

Ответ:

Пошаговое объяснение:

Приложения:
Вас заинтересует