• Предмет: Математика
  • Автор: pronckinnickit
  • Вопрос задан 8 лет назад

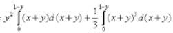
ПОМОГИТЕ СРОЧНО!!!! Высшая математика

Приложения:

Ответа на этот вопрос пока нет. Попробуйте найти его через форму поиска.

Вас заинтересует