• Предмет: Алгебра
  • Автор: ваня007008
  • Вопрос задан 10 лет назад

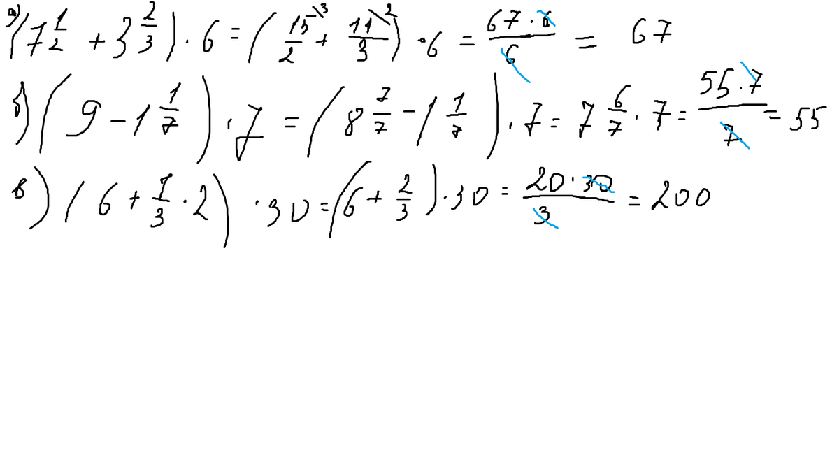
найдите значение выражения
(7 1/2+3 2/3)*6
(9-1 1/7)*7
(6 + 1/3 *2)*30

Ответы

Ответ дал: buo175
0
решение   написано  ниже 
Приложения:
Вас заинтересует