Срочно
Изи 100 балов
Только решите
Приложения:

максир:
тебе только ответы или решение тоже?
Ответы
Ответ дал:
1
Ответ:
1. (-1; -1)
2. (4; 3)
1) (-2; 5)
2) (-3; 2)
3) (3; 3)
4) (5; 2)
Объяснение:
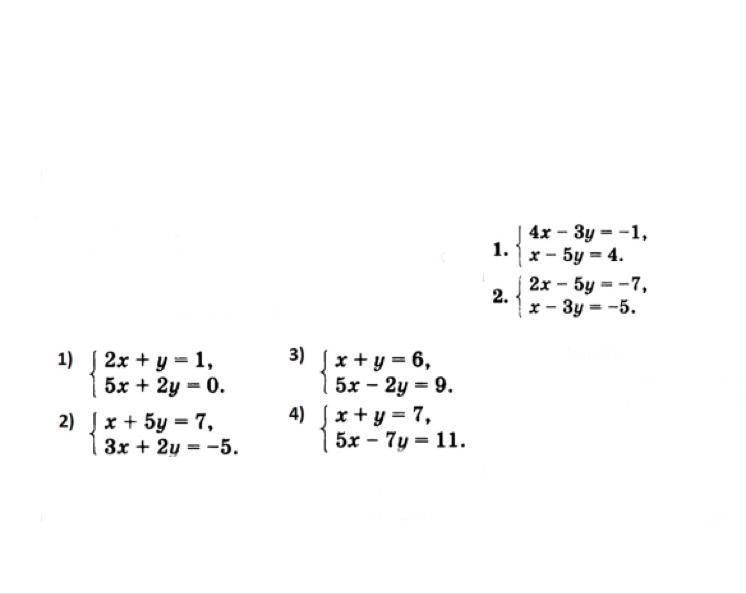
1.
4(4+5y)-3y=-1
16+20y-3y=-1
16+17y=-1
17y=-17
y=-1
x=-5 * (-1) +4 = -1
Ответ: (-1; -1)
2.
2 (-5+3y)-5y=-7
-10+y=-7
y=3
x=-5+3*3=4
Ответ: (4; 3)
1)
5x+2 (1-2x) =0
x+2=0
x=-2
y=1-2 * (-2)=5
Ответ: (-2; 5)
2)
3(7-5y) +2y=-5
21-13y=-5
13y=26
y=2
x=7-5*2=-3
Ответ: (-3; 2)
3)
5(6-y) -2y=9
30-7y=9
7y=21
y=3
x=6-3=3
Ответ: (3; 3)
4)
5(7-y) -7y=11
35-12y=11
12y=24
y=2
x=7-2=5
Ответ: (5; 2)
Но лучше перепроверь, так как я тоже человек и могу допустить ошибку
Вас заинтересует
1 год назад
3 года назад
3 года назад
8 лет назад