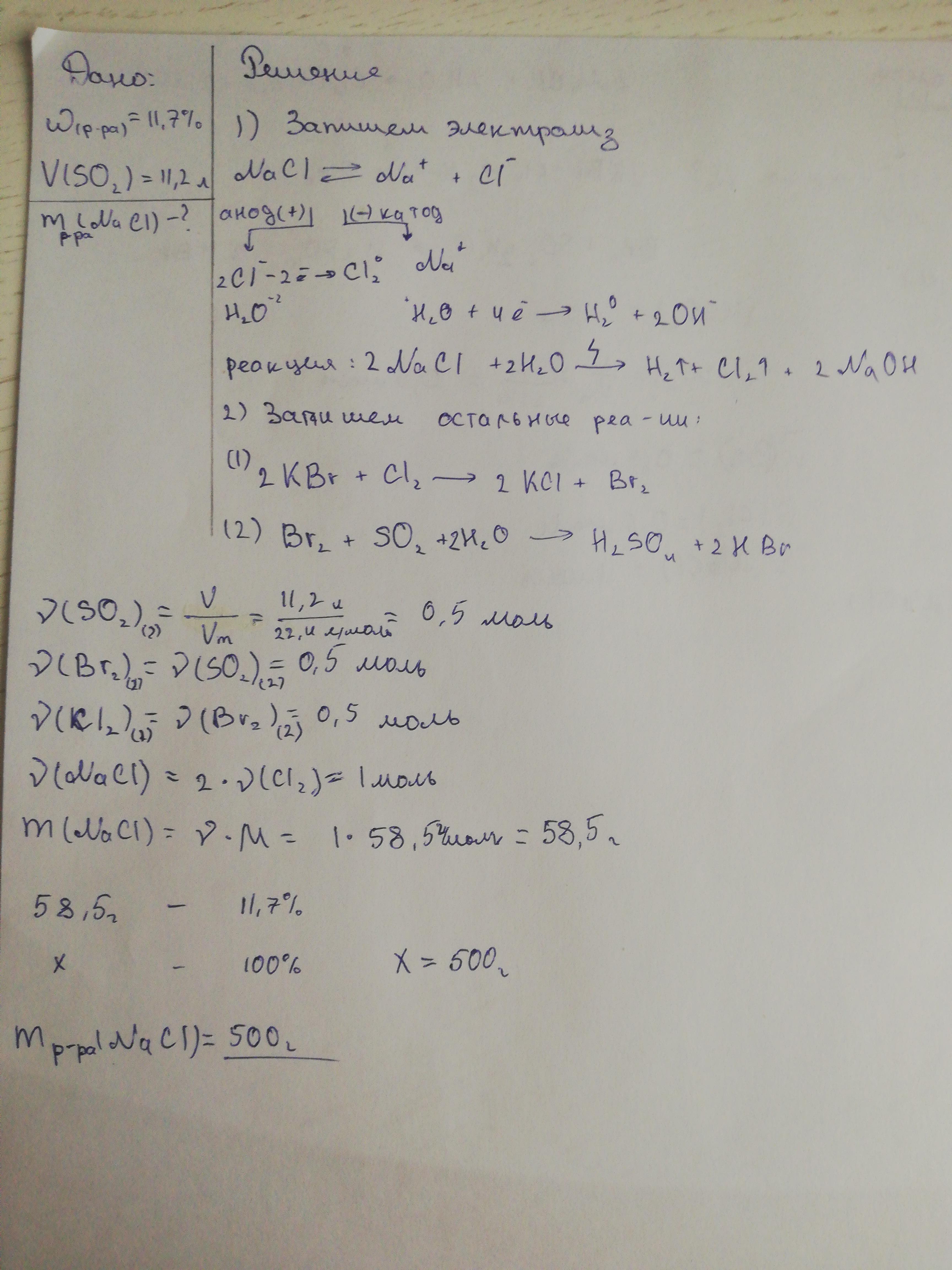
Раствор с массовой долей хлорида натрия 11,7% подвергли электролизу до полного разложения соли. Выделившийся на аноде газ пропустили через раствор KBr. Для обесцвечивания образовавшегося раствора понадобилось пропустить через него 11,2 л сернистого газа (н.у.). Определите массу исходного раствора.
Ответы
Ответ дал:
3
Ответ:
500г
Объяснение:
Приложения:

Вас заинтересует
1 год назад
1 год назад
1 год назад
1 год назад
3 года назад
3 года назад
8 лет назад
8 лет назад