• Предмет: Алгебра
  • Автор: korovina123na
  • Вопрос задан 2 года назад

ПОМОГИТЕ ПОЖАЛУЙСТА, БУДУ ОЧЕНЬ БЛАГОДАРНА!!!!

Приложения:

Ответы

Ответ дал: Грант97
1

Ответ:

Объяснение:

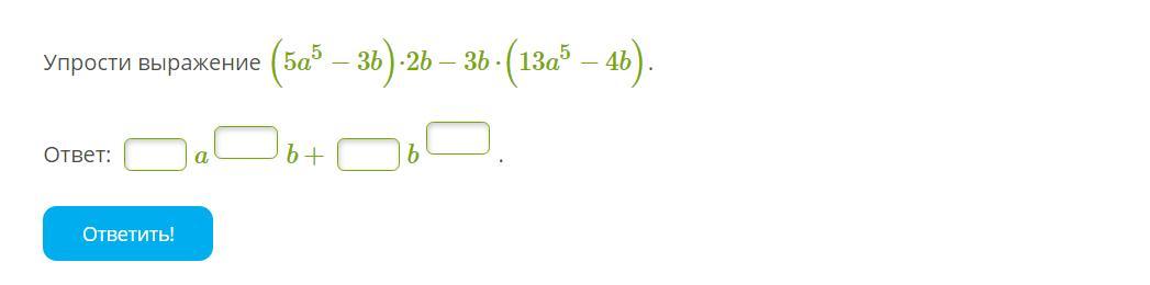
(5a^{5}-3b)*2b - 3b*(13a^{5}-4b) = 10a^{5}b-6b^{2}-39a^{5}b+12b^{2} = -29a^{5}b+6b^{2}

Вас заинтересует