• Предмет: Химия
  • Автор: steex14
  • Вопрос задан 11 лет назад

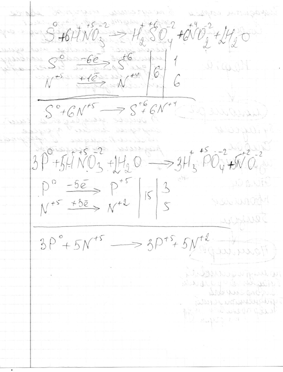
ПОМОГИТЕ СРОЧНО !!!!!!!!!!!!!!!!!!!! Расставьте коэффициенты методом электронного баланса: 1) S+ HNO3 -> H2SO4+NO2+H2O ; 2) P+HNO3+H2O ->H3PO4 +NO ; Взарание огромное при огромное всем спс !!!!

Ответы

Ответ дал: zluchka
0

вроде так должно быть, я прикрепила файл

Приложения:
Вас заинтересует