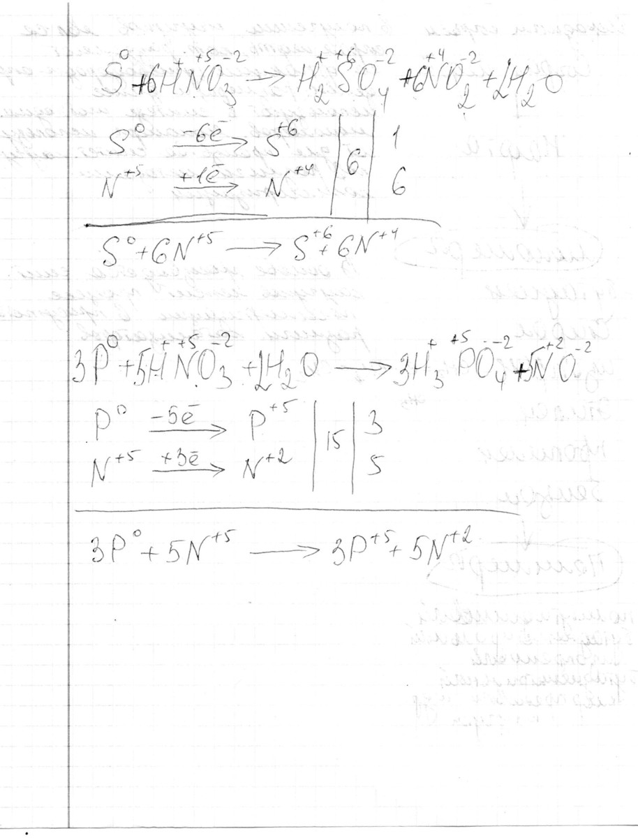
ПОМОГИТЕ СРОЧНО !!!!!!!!!!!!!!!!!!!! Расставьте коэффициенты методом электронного баланса: 1) S+ HNO3 -> H2SO4+NO2+H2O ; 2) P+HNO3+H2O ->H3PO4 +NO ; Взарание огромное при огромное всем спс !!!!
Ответы
Ответ дал:
0
я прикрепила файл, думаю что так
Приложения:
Вас заинтересует
3 года назад
3 года назад
8 лет назад
8 лет назад
11 лет назад
11 лет назад
11 лет назад