• Предмет: Математика
  • Автор: aqgagf
  • Вопрос задан 2 года назад

решите пожалуйста с объяснением! :)

Приложения:

Ответы

Ответ дал: makimaki5
0

Ответ:

на фото

Пошаговое объяснение:

Приложения:

daryapopova2: Там во второй скобке 14, а не 17?
makimaki5: Невнимательность, спасибо
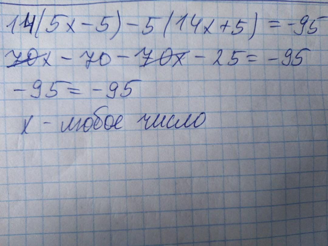
Ответ дал: daryapopova2
0
14•(5х-5)-5•(14х+5)=-95
70х-70-70х-25=-95
-95=-95
х принадлежит R

Приложения:
Вас заинтересует