• Предмет: Алгебра
  • Автор: dred55578t
  • Вопрос задан 2 года назад

срочно!!!!!!! помогите прошу

Приложения:

Ответы

Ответ дал: Shakhzoda2006
0

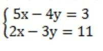
Ответ:5x-4y

X=11/2+3/2*y

Решу как уравнения

5(11/2+3/2*y)-4y=3

y=-7

x=11/2+3/2*(-7)

x=-5

вотт

Объяснение:

Вас заинтересует