• Предмет: Алгебра
  • Автор: Nens
  • Вопрос задан 11 лет назад

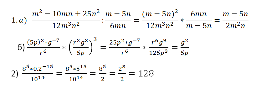
помогите решить 1 или 2 или задачу письменную

Приложения:

Ответы

Ответ дал: urasuper123
0
вот решение задание сделал только два
Приложения:
Вас заинтересует