Ответы
Ответ дал:
1
Ответ:
Надеюсь все понятно..
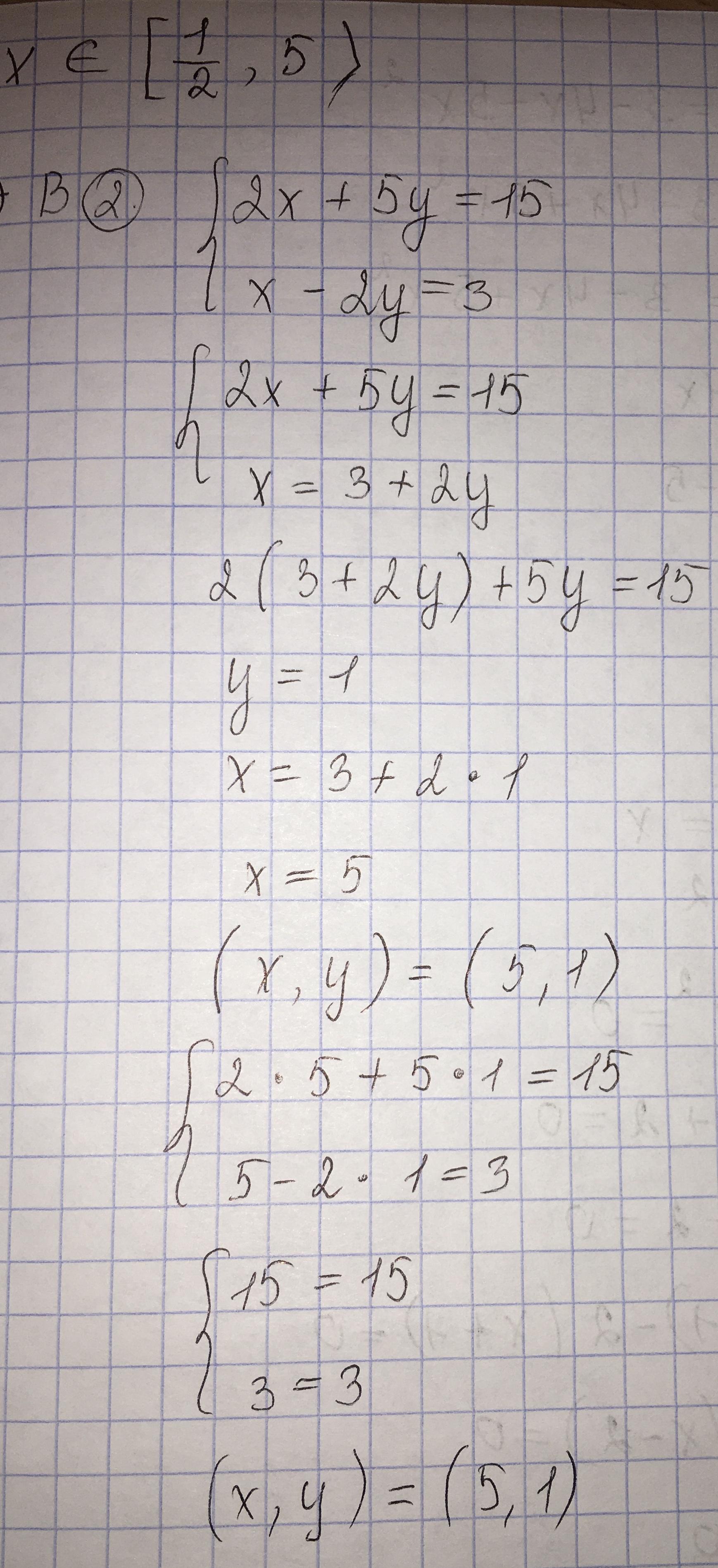
Приложения:




Viktoriailina21:
Спасибоооооо огромное
Вас заинтересует
1 год назад
1 год назад
1 год назад
3 года назад
8 лет назад