Ответы
Ответ дал:
0
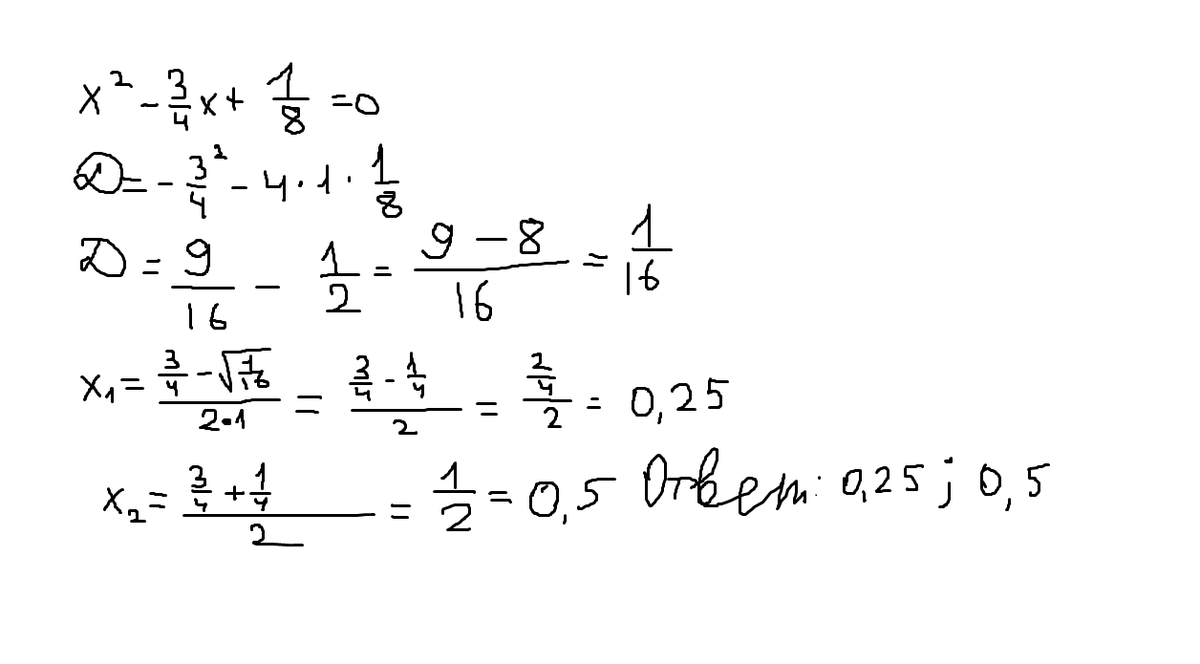
x^2-3/4x+1/8=0
x^2-3/4x=-1/8
4x=8(3-x^2)
x=6-2x^2
2x^2+x-6=0 D=1^2+4*6*2=49=7^2 x1=(-7-1)/4=2 x2=(7-1)/4=1.5
Ответ дал:
0
Да да
Ответ дал:
0
сейчас решу
Ответ дал:
0
плиз помогите
Ответ дал:
0
Вот решение............
Приложения:

Ответ дал:
0
спс
Вас заинтересует
2 года назад
2 года назад
8 лет назад
10 лет назад
10 лет назад
10 лет назад