• Предмет: Алгебра
  • Автор: YaroslavSorocan89
  • Вопрос задан 2 года назад

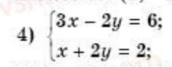
Помогите 40 балов!!!!​

Приложения:

Ответы

Ответ дал: mariyakool2005
2

вот тебе полное решение

Приложения:

YaroslavSorocan89: в конце должно быть (х=2. (у=0
YaroslavSorocan89: а так спасибо
mariyakool2005: ну не дописала, извиняюсь
Вас заинтересует