Ответы
Ответ дал:
0
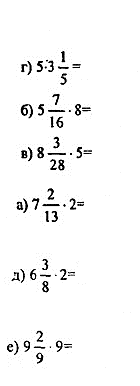
г) 16
б) 43 1/2 или 43,5
в) 40 15/28
а) 14 4/13
д) 12,75 или 12 3/4
е) 83
б) 43 1/2 или 43,5
в) 40 15/28
а) 14 4/13
д) 12,75 или 12 3/4
е) 83
Вас заинтересует
3 года назад
3 года назад
8 лет назад
8 лет назад
11 лет назад
11 лет назад
11 лет назад
11 лет назад