• Предмет: Химия
  • Автор: cake74
  • Вопрос задан 2 года назад

СРОЧНОООО
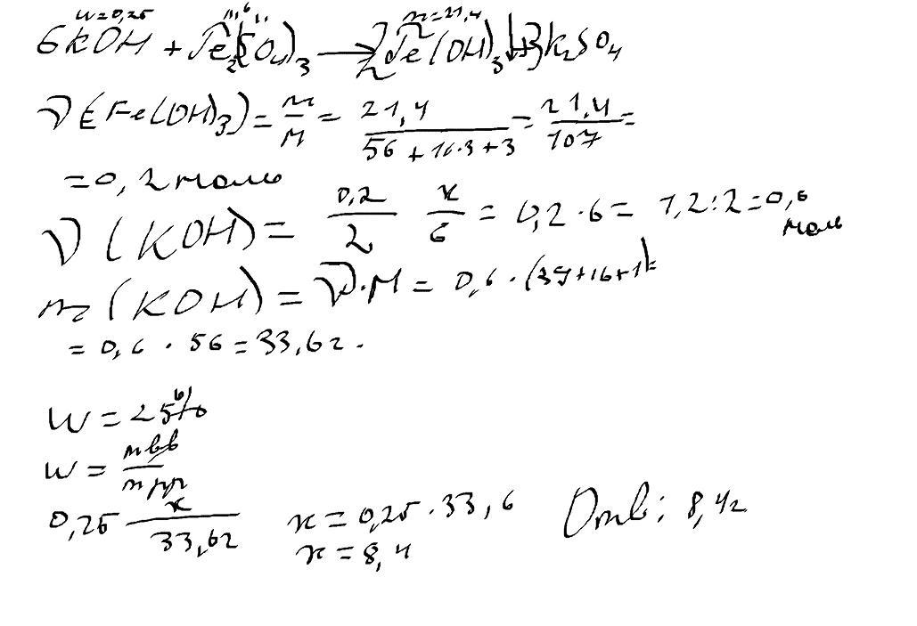
Какая масса 25% -ого раствора гидроксида калия потребуется для реакции с сульфатом железа(III), если при этом образуется 21.4 г осадка?


cake74: Помогите пожалуйста. со всем оформлением доно, решение и т.д.
AnnTop1: Сейчас не поздно?
cake74: нкет
cake74: помогие
cake74: у меня химичка жесткая
cake74: ей не угодить
AnnTop1: Ок
cake74: пожалуйста помогите
AnnTop1: Люди!!! Кто это видет, помогите

Ответы

Ответ дал: minyazovbulat
0

Ответ: на скрине

Объяснение:

Приложения:

cake74: спасибо
Вас заинтересует