• Предмет: Математика
  • Автор: dmitry981
  • Вопрос задан 2 года назад

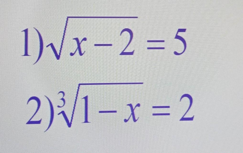
Иррациональные уравнения​

Приложения:

Ответы

Ответ дал: ksu4html
0

Ответ:

1)х=27 2)х=-7

Пошаговое объяснение:

1)возведем обе части в квадрат

х-2=25

перенесем и сложим

х=25+2

х=27

2) возведем в куб

1-х=8

-х=8-1

-х=7

х=-7

Вас заинтересует