• Предмет: Геометрия
  • Автор: Linochka12345
  • Вопрос задан 2 года назад

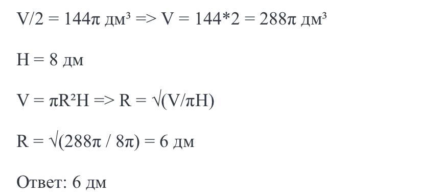
Даю много баллов !! Помогите !!!У танка Фома цилиндра высота которого 8 дм.

Танк наполовину наполнен жидкостью, объём которой 256πдм3.

Сколько дм будет высота уровня жидкости в танке, если танк повернуть горизонтально?

Ответы

Ответ дал: evaakifeva
0
ответ ищи во вложении.
Приложения:

Linochka12345: Но у меня 256
Вас заинтересует