Ответы
Ответ дал:
0
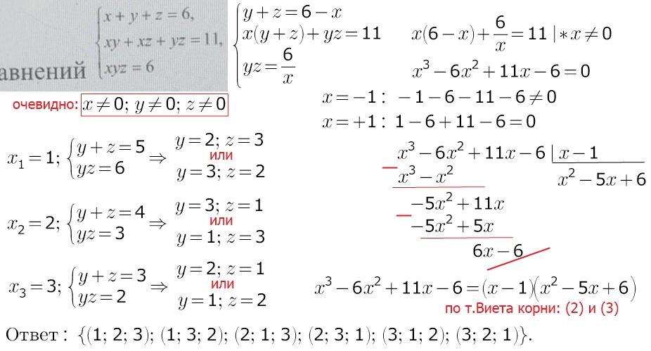
все корни находятся устно !! (по теореме Виета)
Приложения:

Вас заинтересует
1 год назад
1 год назад
1 год назад
3 года назад
3 года назад
8 лет назад