• Предмет: Математика
  • Автор: day123
  • Вопрос задан 2 года назад

Дам 40 баллов, если будет правильно!
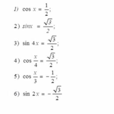
Решите уравнения с помощью окружности:
1. cos x=1/2
2. sin x=корень из 3/2
3. sin 4x=корень из 3/2
4. cos x/4=корень из 3/2
5. cos x/3=-1/2
6.sin 2x= -корень из 3/2

Приложения:

Ответы

Ответ дал: my2010
1

Ответ:

1) pi/3

2) pi/3

3) pi/12

4)2pi/3

5)2pi

6) -pi/6

Пошаговое объяснение:


day123: Спасибо, но мне нужно решить с помощью окружности ..
Вас заинтересует